Products
- Terminal preparation
- Pharmaceuticals
- CMO CDMO
- Biopharmaceuticals
- Animal nutrition and health care
- API
- Medical intermediate
- Fine chemicals
jcpc@jinchengpharm.com
Products
Location:Home - Products
【藥品名稱】
通用名:頭孢氨芐膠囊
英文名:Cefalexin Capsules
漢語拼音:Toubao'anbian Jiaonang
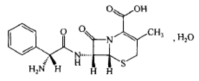
【成分】本品主要成份為頭孢氨芐。其Chemical Name為:(6R,7R)-3-甲基-7-[(R)-2-氨基-2-苯乙酰氨基]-8-氧代-5-硫雜-1-氮雜雙環[4.2.0]辛-2-烯-2-甲酸-水合物。
結構式:
分子式:C16H17N3O4S•H2O
分子量:365.41
【性狀】本品為膠囊劑。
【適應癥】適用于敏感菌所致的急性扁桃體炎、咽峽炎、中耳炎、鼻竇炎、支氣管炎、肺炎等呼吸道感染、尿路感染及皮膚軟組織感染等。本品為口服制劑,不宜用于重癥感染。
【規格】0.125g(按C16H17N3O4S計)
【用法用量】成人劑量:口服。一般一次250~500mg,一日4次,最高劑量一日4g。腎功能減退的患者,應根據腎功能減退的程度,減量用藥。單純性膀胱炎、皮膚軟組織感染及鏈球菌咽峽炎患者每12小時500mg。
兒童劑量:口服。每日按體重25~50mg/kg,一日4次。皮膚軟組織感染及鏈球菌咽峽炎患者每12小時口服12.5~50mg/kg。
【不良反應】
1.惡心、嘔吐、腹瀉和腹部不適較為多見。
2.皮疹、藥物熱等過敏反應,偶可發生過敏性休克。
3.頭暈、復視、耳鳴、抽搐等神經系統反應。
4.應用本品期間偶可出現一過性腎損害。
5.偶有患者出現血清氨基轉移酶升高、Coombs試驗陽性。溶血性貧血罕見,中性粒細胞減少和偽膜性結腸炎也有報告。
【禁忌】 對頭孢菌素過敏者及有青霉素過敏性休克或即刻反應史者禁用。
【注意事項】
1.在應用本品前須詳細詢問患者對頭孢菌素類、青霉素類及其他藥物過敏史,有青霉素類藥物過敏性休克史者不可應用本品,其他患者應用本品時必須注意頭孢菌素類與青霉素類存在交叉過敏反應的機會約有5%~7%,需在嚴密觀察下慎用。一旦發生過敏反應,立即停用藥物。如發生過敏性休克,須立即就地搶救,包括保持氣道通暢、吸氧和腎上腺素、糖皮質激素的應用等措施。
2.有胃腸道疾病史的患者,尤其有潰瘍性結腸炎、局限性腸炎或抗菌藥物相關性結腸炎(頭孢菌素很少產生偽膜性腸炎)者以及腎功能減退者應慎用本品。
3.對診斷的干擾:應用本品時可出現直接Coombs試驗陽性反應和尿糖假陽性反應(硫酸銅法);少數患者的堿性磷酸酶、血清丙氨酸氨基轉移酶和門冬氨酸氨基轉移酶皆可升高。
4.當每天口服劑量超過4g(無水頭孢氨芐)時,應考慮改用注射用頭孢菌素類藥物。
5.頭孢氨芐主要經腎排出,腎功能減退患者應用本品須減量。
【孕婦及哺乳期婦女用藥】本品透過胎盤,故孕婦應慎用;本品亦可經乳汁排出,雖至今尚無哺乳期婦女應用頭孢菌素類發生問題的報告,但仍須權衡利弊后應用。
【兒童用藥】尚未明確。
【老年用藥】尚未明確。
【藥物相互作用】
1.與考來烯胺(消膽胺)合用時,可使頭孢氨芐的平均血藥濃度降低。
2.丙磺舒可延遲本品的腎排泄,也有報告認為丙磺舒可增加本品在膽汁中的排泄。
【藥物過量】尚未明確。
【藥理毒理】
1.藥理 頭孢氨芐屬第一代頭孢菌素,抗菌譜與頭孢噻吩相仿,但其抗菌活性較后者為差。除腸球菌屬、甲氧西林耐藥葡萄球菌外,肺炎鏈球菌、溶血性鏈球菌、產或不產青霉素酶葡萄球菌的大部分菌株對本品敏感。本品對奈瑟菌屬有較好抗菌作用,但流感嗜血桿菌對本品的敏感性較差;本品對部分大腸埃希菌、奇異變形桿菌、沙門菌和志賀菌有一定抗菌作用。其余腸桿菌科細菌、不動桿菌、銅綠假單胞菌、脆弱擬桿菌均對本品呈現耐藥。梭桿菌屬和韋容球菌一般對本品敏感,厭氧革蘭陽性球菌對本品中度敏感。
2.毒理 頭孢氨芐的小鼠口服半數致死量為2600mg/kg。
【藥代動力學】本品吸收良好,空腹口服本品500mg后1小時達血藥峰濃度(Cmax),平均為18mg/L。餐后服藥延長吸收并降低血藥峰濃度,但吸收量不減。本品的吸收在幼兒乳糜瀉和小腸憩室患者可增加,在克隆病和肺囊性纖維化患者可延緩和減少。老年人胃腸道吸收雖無減少,但血藥濃度維持較年輕人為久。本品血消除半衰期(t1/2β)為0.6~1.0小時,加服丙磺舒可提高血藥濃度,t1/2β可延長至1.8小時;腎衰竭時t1/2β可延長至5~30小時;新生兒t1/2β為6.3小時。本品吸收后廣泛分布于各組織體液中,每6小時口服500mg后痰液中平均濃度為0.32mg/L,膿性痰液中濃度較高。膿液藥物濃度與血藥濃度基本相等,關節腔滲出液中藥物濃度為血藥濃度的50%。本品可透過胎盤進入胎兒血循環,產婦羊水;乳婦口服500mg后乳汁濃度為5mg/L。約5%的口服給藥量自膽汁排出,膽汁中藥物濃度為血藥濃度的1~4倍。血清蛋白結合率為10%~15%。本品體內不代謝,24小時尿中累積排出給藥量的80%~90%,口服500mg后尿藥峰濃度可達2200mg/L。頭孢氨芐可為血液透析和腹膜透析所清除。
【貯藏】 遮光,密封,在涼暗(避光并不超過20℃)處保存。
【包裝】 鋁塑包裝。每板10粒,每盒4板;每板10粒,每盒5板。
【有效期】24個月。
【執行標準】《中國藥典》2010年版二部
【批準文號】國藥準字H31021620



