Products
- Terminal preparation
- Pharmaceuticals
- CMO CDMO
- Biopharmaceuticals
- Animal nutrition and health care
- API
- Medical intermediate
- Fine chemicals
jcpc@jinchengpharm.com
Products
Location:Home - Products
請仔細閱讀說明書并在醫師指導下使用
【藥品名稱】
通用名:頭孢克洛分散片
英文名:Cefaclor Dispersible Tablets
漢語拼音:Toubaokeluo Fensan Pian
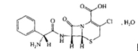
【成份】本品主要成份為頭孢克洛。其Chemical Name為:(6R,7R)-7-[(R )-2-氨基-2-苯乙酰氨基]-3-氯-8-氧代-5-硫雜-1-氮雜雙環[4.2.0]辛-2-烯-2-甲酸一水合物。
結構式:
分子式:C15H14ClN3O4S•H2O
分子量:385.82
【性狀】 本品為類白色或淡黃色片。
【適應癥】主要適用于敏感菌所致的呼吸道感染如肺炎、支氣管炎、咽喉炎、扁桃體炎等;中耳炎;鼻竇炎;尿路感染如淋病、腎盂腎炎、膀胱炎;皮膚與皮膚組織感染等;膽道感染等。
本品治療A組溶血性鏈球菌咽炎和扁桃體炎的療效與青霉素Ⅴ相似。
【規格】 0.125g
【用法用量】 口服。成人一次0.25g,一日3次,嚴重感染患者劑量可加倍,但一日總劑量不超過4g。小兒按體重一日20~40mg/kg,分3次服用,嚴重感染患者劑量可加倍,但一日總劑量不超過1g。
【不良反應】
(1)多見胃腸道反應:軟便、腹瀉、胃部不適、食欲不振、惡心、嘔吐、噯氣等。
(2)血清病樣反應較其他抗生素多見,小兒尤其常見,典型癥狀包括皮膚反應和關節痛。
(3)過敏反應:皮疹、蕁麻疹、嗜酸性粒細胞增多、外陰部瘙癢等。
(4)其他:血清氨基轉移酶、尿素氮及肌酐輕度升高、蛋白尿、管型尿等。
【禁忌】 對本品及其他頭孢菌素類過敏者禁用。
【注意事項】
(1)本品與青霉素類或頭霉素(cephamycin)有交叉過敏反應,因此對青霉素類、青霉素衍生物、青霉胺及頭霉素過敏者慎用。
(2)腎功能減退及肝功能損害者慎用。
(3)有胃腸道疾病史者,特別是潰瘍性結腸炎、局限性腸炎或抗生素相關性結腸炎者慎用。
(4)長期服用本品可致菌群失調,引發繼發性感染。
(5)對實驗室檢查指標的干擾:抗球蛋白(Coombs)試驗可出現陽性;孕婦產前應用這類藥物,此陽性反應也可出現于新生兒。硫酸銅尿糖試驗可呈假陽性,但葡萄糖酶試驗法不受影響;血清丙氨酸氨基轉移酶、門冬氨酸氨基轉移酶、堿性磷酸酶和血尿素氮可升高;采用Jaffe 反應進行血清和尿肌酐值測定時可有假性增高。
(6)本品宜空腹口服,因食物可延遲其吸收。牛奶不影響本品吸收。
【孕婦及哺乳期婦女用藥】
(1)孕婦慎用。
(2)本品可經乳汁排出,故哺乳期婦女應慎用或暫停哺乳。
【兒童用藥】 新生兒的用藥安全尚未確定。
【老年用藥】 老年患者應在醫師指導下根據腎功能情況調整用藥劑量或用藥間期。
【藥物相互作用】
(1)呋塞米、依他尼酸、布美他尼等強利尿藥,卡氮芥、鏈佐星等抗腫瘤藥及氨基糖苷類抗生素等腎毒性藥物與本品合用有增加腎毒性的可能。
(2)克拉維酸可增強本品對某些因產生β-內酰胺酶而對本品耐藥的革蘭陰性桿菌的抗菌活性。
(3)口服丙磺舒可延遲本品的排泄。
【藥物過量】 尚未明確。
【藥理毒理】本品為廣譜半合成頭孢菌素類抗生素。對產青霉素酶金黃色葡萄球菌、A組溶血性鏈球菌、草綠色鏈球菌和表皮葡萄球菌的活性與頭孢羥氨芐相同,對不產酶金黃色葡萄球菌和肺炎球菌的抗菌作用較頭孢羥氨芐強2~4倍。對革蘭陰性桿菌包括對大腸埃希菌和肺炎克雷伯菌等的活性較頭孢氨芐強,與頭孢羥氨芐相仿,對奇異變形桿菌、沙門菌屬和志賀菌屬的活性較頭孢羥氨芐強。2.9~8mg/L的本品可抑制所有流感嗜血桿菌,包括對氨芐西林耐藥的菌株??ㄋ土懿∧紊鷮Ρ酒泛苊舾?。吲哚陽性變形桿菌、沙雷菌屬、不動桿菌屬和銅綠假單胞菌均對本品耐藥。
本品的作用機制是抑制細菌細胞壁的合成。
【藥代動力學】本品口服后迅速從腸道吸收,分布于全身組織中。口服本品500mg的血藥峰濃度(Cmax)約為13.44 mg/L,達峰時間(tmax)約0.56小時,血消除半衰期(t1/2β)為0.57小時。本品在中耳膿液中可達到足夠的濃度;在唾液和淚液中濃度高。本品的血清蛋白結合率約為25%。給藥量的約15%在體內代謝。本品主要自腎排泄,8小時內給藥量的約77%以原形自尿中排出,尿藥濃度高;約0.05%自膽汁排泄,膽汁中藥物濃度較血藥濃度低。血液透析能清除部分本品。
【貯藏】 遮光,密封,在涼暗(避光并不超過20℃)干燥處保存。
【包裝】 雙鋁箔包裝。6片/盒;12片/盒;18片/盒。
【有效期】 24個月。
【執行標準】 國家藥品標準WS1-(X-072)-2003Z
【批準文號】 國藥準字H19991435
【生產企業】
企業名稱:上海金城藥業有限公司
生產地址:上海市金山工業區攬工路958號
郵政編碼:201506
電話號碼:021-80108056
傳真號碼:021-80108065



