Products
- Terminal preparation
- Pharmaceuticals
- CMO CDMO
- Biopharmaceuticals
- Animal nutrition and health care
- API
- Medical intermediate
- Fine chemicals
jcpc@jinchengpharm.com
Products
Location:Home - Products
富馬酸比索洛爾膠囊說明書
請仔細閱讀說明書并在醫師指導下使用。
運動員慎用
【藥品名稱】
通用名稱:富馬酸比索洛爾膠囊
商品名稱: 洛雅
英文名稱:Bisoprolol Fumarate Capsules
漢語拼音:Fumasuan Bisuoluo'er Jiaonang
【成 份】本品主要成份為富馬酸比索洛爾。
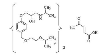
Chemical Name:1-[4-[[2-(1-甲基乙氧基)乙氧基]甲基]苯氧基]-3-[(1-甲基乙基)胺基]-2-丙醇富馬酸鹽。
化學結構式:
分子式:(C18H31NO4)2 ·C4H4O4
分子量:766.96
【性 狀】本品為硬膠囊劑,其內容物為白色顆粒。
【適 應 癥】
用于原發性高血壓的治療。
【規 格】2.5mg
【用法用量】
口服,一日一次,起始劑量為2.5mg(1粒),最大劑量每日不超過10mg(4粒)。請遵醫囑。
【不良反應】
同其他β1腎上腺素能受體阻滯劑的不良反應。
1.下列不良反應與劑量成正相關:心動過緩、腹瀉、乏力、疲勞和鼻竇炎。
2.其它常見的不良反應:
神經系統:頭暈、頭痛、感覺異常、遲鈍、嗜睡、焦慮、注意力不集中、記憶力減退、口干、多夢、失眠、壓抑。
心血管:心悸或其他心律失常、肢體冰冷、跛行、低血壓、直立性低血壓、胸痛、心功能不全、憋氣。
消化系統:腹痛、消化不良、惡心、嘔吐、腹瀉。
運動系統:關節痛、背/頸部痛、肌肉痙攣、抽動/震顫。
皮膚粘膜:痤瘡、濕疹、皮膚刺激、瘙癢、臉紅、出汗、脫發、血管水腫、剝脫性皮炎、皮膚血管炎。
特殊感覺:視覺紊亂、眼痛/壓迫、流淚異常、耳鳴、耳痛、味覺異常。
代謝:痛風。
呼吸系統:支氣管痙攣、支氣管炎、咳嗽、呼吸困難、咽炎、鼻炎、鼻竇炎、上呼吸道感染。
生殖泌尿系統:性欲亢進/陽萎、派羅尼病、膀胱炎、泌尿系絞痛。
血液系統:紫癜。
其它:疲乏、無力、胸痛、水腫、體重增加。其他β腎上腺素能受體阻滯劑報道的各種不良反應都應考慮本品潛在不良反應。
3.實驗室檢查異常:有血清甘油三酯、肝功能異常如谷草轉氨酶(SGOT)/谷丙轉氨酶(SGPT)升高、尿酸,肌酐,尿素氮(BUN),血鉀,血糖,血磷升高及白細胞和血小板減少的報道。對臨床無影響時可不停用本品。
4.與其它β腎上腺素能受體阻滯劑一樣,有報道長期使用本品約15%患者的抗核抗體滴度試驗陽性,但大約1/3患者停藥后可轉變為陰性。
【禁 忌】
1.本品過敏;
2.心源性休克;
3.低血壓;
4.明顯的心功能不全;
5.病態竇房結綜合癥和明確的竇性心動過緩;
6.二或三度房室傳導阻滯;
7.支氣管哮喘。
【注意事項】
1.腎或肝功能損害時,要注意調整本品使用劑量。
2.β阻滯劑可能抑制心肌收縮而加重心功能不全。重度心功能不全患者應該避免使用β阻滯劑。但是心功能不全代償者,應用β阻滯劑可能有必要,但應用時須從小劑量開始,逐漸增量至臨床需要之劑量。
3.無心功能不全病史的患者,應警惕連續使用β阻滯劑可能誘發心功能不全。
4.一旦出現心功能不全和/或加重心功能不全的體征和癥狀,應考慮停用本品。繼續使用β阻滯劑者,須在使用其他治療心功能不全的藥物同時應用。
5.突然停用β阻滯劑,可能引發心絞痛惡化和心肌梗死或室性心律失常。因此,沒有醫生的建議停止或中斷本品治療時須謹慎。建議患者在密切觀察下,大約一周內逐漸減量停藥。
6.嗜鉻細胞瘤單用本品致血壓驟升,必須同時給以α阻滯劑。
7.β阻滯劑能引發或加重周圍血管病患者的癥狀,要格外謹慎給藥。
8.支氣管痙攣病的患者一般不能應用β阻滯劑治療。由于本品為選擇性β1阻滯劑,謹慎應用于其他抗高血壓治療無反應或不能耐受的支氣管痙攣患者時,最低初始劑量為2.5mg。同時備用β2激動劑(支氣管擴張劑)。
9.本品在圍手術期連續使用,合用有心肌抑制功能的麻醉藥如乙醚、環丙烷、三氯乙烯等時要特別小心。
10.β阻滯劑可能掩蓋某些低血糖癥狀,如心動過速。本品是β1選擇性β受體阻滯劑,很少發生非選擇性β阻滯劑潛在的胰島素誘導的低血糖,和延遲血糖水平恢復的作用。但是若患者是自發性低血糖或接受胰島素或口服降糖藥治療的糖尿病患者,應警惕可能發生上述情況,用藥時需謹慎。
11.β阻滯劑可能掩蓋臨床甲狀腺功能亢進癥狀,如心動過速。β阻滯劑突然停用可能使甲狀腺功能亢進癥狀惡化或導致甲狀腺危象。
12.有嚴重過敏史的患者,使用β阻滯劑可引發過敏反應,并對治療過敏的常規劑量的腎上腺素可能沒有反應。
【孕婦及哺乳期婦女用藥】
本品是否經人乳汁分泌尚不清。孕婦、哺乳婦女忌用。
【兒童用藥】
本品尚無兒童應用的資料。
【老年用藥】
老年患者不必調整劑量。但有明顯腎或肝功能不全時必須調整劑量。
【藥物相互作用】
1.本品不應與其他β阻滯劑合用。
2.本品與利血平、胍乙啶合用時,可增加本品的β受體阻滯作用,導致交感活性過度減低,應密切監測。
3.接受可樂定治療的患者,若要停止用藥,在可樂定停藥前數天先停用本品。
4.本品與有心肌抑制或房室傳導阻滯作用的藥物合用時須謹慎,如異搏定、硫氮唑酮類、雙異丙吡胺,因可出現疊加作用。
5.利血平增加本品的代謝,縮短本品消除半衰期,但初始劑量不需調整。
6.本品對服用華法令患者的凝血酶原時間沒有影響。
【藥物過量】
β阻滯劑過量最常見的體癥是心動過緩、低血壓、心功能不全、支氣管痙攣和低血糖。此時應停用本品。
本品不能通過透析消除,應提供支持和對癥治療。
心動過緩:靜脈注射阿托品,如果療效不佳,可謹慎使用異丙腎上腺素等增加心率的藥物。必要時可考慮安裝起搏器。
低血壓:給予靜脈補液或血管升壓藥,也可靜脈注射胰高血糖素。
心臟傳導阻滯:應密切監測患者,適當時可靜脈給予異丙腎上腺素,必要時考慮經靜脈心臟起搏。
心功能不全:常規治療(如:地高辛、利尿藥、正性肌力藥、血管擴張藥)。
支氣管痙攣:支氣管擴張劑治療,例如異丙腎上腺素和/或氨茶堿。
低血糖:靜脈推注葡萄糖。
【藥理毒理】
藥理作用
據文獻報道,本品為選擇性β1腎上腺素能受體阻滯劑,臨床上用于降低血壓。在治療劑量范圍內,本品無明顯的膜穩定作用或內在擬交感作用。高劑量時(≥20mg)可抑制β2腎上腺素能受體(β2受體主要位于支氣管和血管平滑肌)。對β1受體的選擇性是阿替洛爾的4倍。
毒理研究
據文獻報道,小鼠服用本品250mg/kg/日20~24月,大鼠服用本品125mg/kg/日26月,未觀察到潛在的致癌事件。按體重計算,這兩個劑量分別是人體最大推薦劑量20mg(或0.4mg/kg/日對50kg的個體)的625倍和312倍;按體表面積計算,分別是人體最大推薦劑量的59倍和64倍。微生物致突變試驗,中華倉鼠V76細胞、小鼠和大鼠的突變試驗研究中,均未發現潛在的致突變事件。大鼠生殖研究表明,本品劑量達150mg/kg/日時,或分別達人體最大推薦劑量的375倍(體重換算)和77倍(體表面積換算)時,均未顯示損害生育功能。哺乳期大鼠的乳汁中可以監測到本品(在小于2%的劑量)。
【藥代動力學】
據文獻報道,口服本品10mg后的絕對生物利用度大約是80%,其吸收不受食物影響。吸收后進入組織,以肺、腎、肝內含量最高。它的首過代謝大約是20%。血清蛋白結合近似30%。口服本品5~20mg血漿藥物達峰時間為2-4小時,平均血藥峰濃度范圍為16ng/ml~70ng/ml。日服一次的個體血漿藥物濃度水平波動小于2倍。血漿藥物消除半衰期是9~12小時,在老年患者略延長,部分與這些人腎功能減低有關。日服一次5天達到穩態血藥濃度。在年輕和老年人群中,血漿藥物蓄積低,蓄積因子在1.1~1.3范圍。在5~20mg劑量范圍內血漿藥物濃度與服藥量成比例變化。兩種對映體的藥代參數特征相似。
本品通過腎和非腎途徑消除量相等,大約50%以原形在尿中排出,其余以無活性的代謝物排出。已知的人體代謝物是穩定的或無已知的藥理作用。少于2%通過糞便排泄。本品不通過細胞色素P450 2D6代謝。
肌苷清除率小于40ml/min時,本品的血漿半衰期比健康者增加近3倍。肝硬化時,本品的消除率變化較大,并比健康者明顯減慢,血漿半衰期為8.3~21.7小時。
【貯 藏】遮光,密閉保存。
【包 裝】鋁塑包裝;(1)10粒/板╳1板/盒,(2)10粒/板╳2板/盒,(3)7粒/板╳2板/盒,(4)7粒/板╳4板/盒。
【有 效 期】24個月
【執行標準】《中國藥典》2010版二部
【批準文號】國藥準字H20000043
【生產企業】
企業名稱:北京朗依制藥有限公司
生產地址:北京市順義區北務鎮龍塘路南側北京北方印刷產業基地中心路5號
郵政編碼:101300
電話號碼:010-61425921 61425923
傳真號碼:010-61425921
網 址:www.laneva.com.cn
關于富馬酸比索洛爾膠囊修改說明書的
詳細修訂說明
因戰略發展需要,我公司在異地新建制劑生產車間,現申請將硝呋太爾膠囊的生產地址由“北京市朝陽區管莊鄉雙橋路559號”變更為“北京市順義區北務鎮龍塘路南側北京北方印刷產業基地中心路5號”。
為了更方便患者與企業溝通,將[生產企業]信息進行修訂,具體修訂內容如下。
|
項目名稱 |
原內容 |
修訂后內容 |
備 注 |
|
【生產企業】
|
生產地址:北京市朝陽區管莊鄉雙橋路559號 |
生產地址:北京市順義區北務鎮龍塘路南側北京北方印刷產業基地中心路5號 |
方便患者與企業溝通 |
|
郵政編碼:100024 |
郵政編碼:101300 |
||
|
電話號碼:010-65702290 65524169 |
電話號碼:010-61425921 61425923 |
||
|
傳真號碼:010-65702331 |
傳真號碼:010-61425921 |



