產品介紹
所在位置:首頁 - 產品介紹
注射用頭孢哌酮鈉舒巴坦鈉說明書
請仔細閱讀說明書并在醫師或藥師指導下使用
【藥品名稱】
通用名稱:注射用頭孢哌酮鈉舒巴坦鈉
英文名稱:Cefoperazone Sodium and Sulbactam Sodium for Injection
漢語拼音:Zhusheyong Toubaopaitongna Shubatanna
【成 份】本品為復方制劑,活性成份為頭孢哌酮鈉與舒巴坦鈉(頭孢哌酮與舒巴坦為1:1),不含輔料。
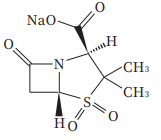
頭孢哌酮鈉
化學名稱:(6R,7R)-3-[[(1-甲基-1H-四唑-5-基)硫]甲基]-7-[(R)-2-(4-乙基-2,3二氧代-1-哌嗪碳酰氨基)-2-對羥基苯基-乙酰氨基]-8-氧代-5-硫雜-1-氮雜雙環[4.2.0]辛-2-烯-2-甲酸鈉鹽。
化學結構式:

分子式:C25H26N9NaO8S2
分子量:667.66
舒巴坦鈉
化學名稱:(2S,5R)-3,3-二甲基-7-氧代-4-硫雜-1-氮雜雙環[3.2.0]庚烷-2-羧酸鈉-4,4-二氧化物。
化學結構式:

分子式:C8H10NNaO5S
分子量:255.22
【性 狀】本品為白色或類白色的粉末。
【適應癥】
單獨用藥
頭孢哌酮/舒巴坦適用于治療由敏感菌所引起的下列感染:(1)上、下呼吸道感染;(2)上、下泌尿道感染;(3)腹膜炎、膽囊炎、膽管炎和其他腹腔內感染;(4)敗血癥;(5)腦膜炎;(6)皮膚和軟組織感染;(7)骨骼和關節感染;(8)盆腔炎、子宮內膜炎、淋病和其他生殖系統感染。
聯合用藥
由于頭孢哌酮/舒巴坦具有廣譜抗菌活性,因此單用本品就能夠治療大多數感染,但有時也需要頭孢哌酮/舒巴坦與其他抗生素聯合應用。當本品與氨基糖苷類抗生素合用時(參見【藥物相互作用】配伍禁忌氨基糖苷類抗生素部分),在治療過程中應監測患者的腎功能(參見【用法用量】腎功能障礙患者的用藥部分)。
【規 格】0.5g(C25H27N9O8S2 0.25g與C8H11NOS5 0.25g)
【用法用量】
成人用藥:頭孢哌酮/舒巴坦成人每日推薦劑量如下:

上述劑量分等量,每12小時給藥一次。在治療嚴重感染或難治性感染時,頭孢哌酮/舒巴坦的每日劑量可增加到8g(1:1頭孢哌酮/舒巴坦,即4g頭孢哌酮)。病情需要時,接受1:1頭孢哌酮/舒巴坦治療的患者可另外單獨增加頭孢哌酮的用量,所用劑量應等分,每12小時給藥一次。舒巴坦每日推薦最大劑量為4g。
肝功能障礙患者的用藥:參見【注意事項】部分。
腎功能障礙患者的用藥:腎功能明顯降低的患者(肌酐清除率<30ml/min)舒巴坦清除減少,應調整頭孢哌酮/舒巴坦的用藥方案。肌酐清除率為15~30ml/min的患者每日舒巴坦的最高劑量為2g,分等量,每12小時注射一次。肌酐清除率<15ml/min的患者每日舒巴坦的最高劑量為1g,分等量,每12小時注射一次。遇嚴重感染,必要時可單獨增加頭孢哌酮的用量。
在血液透析患者中,舒巴坦的藥物動力學特性有明顯改變。頭孢哌酮在血液透析患者中的血清半衰期輕微縮短。因此在血液透析結束后給藥。
靜脈給藥
1)采用間歇靜脈滴注時,每瓶頭孢哌酮/舒巴坦用適量的5%葡萄糖溶液或0.9%注射用氯化鈉溶液或滅菌注射用水溶解(參見【用法用量】使用/操作說明本品的溶解部分),然后再用上述相同溶液稀釋至20ml,靜脈滴注時間應至少為15~60分鐘。盡管乳酸鈉林格注射液可作為頭孢哌酮/舒巴坦靜脈注射液的溶媒,但不能用于本品最初的溶解過程(參見【藥物相互作用】配伍禁忌乳酸鈉林格注射液部分和【用法用量】使用/操作說明乳酸鈉林格注射液部分)。
2)采用靜脈推注時,每瓶頭孢哌酮/舒巴坦應按上述方法溶解,靜脈推注時間至少應超過3分鐘。
肌肉注射
盡管2%鹽酸利多卡因注射液可作為頭孢哌酮/舒巴坦肌肉注射液的溶媒,但不能用于本品最初的溶解過程(參見【藥物相互作用】配伍禁忌利多卡因部分和【用法用量】使用/操作說明利多卡因部分)。
使用/操作說明
1)本品的溶解
本品每1.0g頭孢哌酮/舒巴坦可按下表進行溶解:

頭孢哌酮/舒巴坦在頭孢哌酮和舒巴坦分別為10~250mg/ml和5~125mg/ml濃度范圍內,可與注射用水、5%葡萄糖注射液、生理鹽水、5%葡萄糖和0.225%氯化鈉注射液、5%葡萄糖和0.9%氯化鈉注射液等配伍。
2)乳酸鈉林格注射液
頭孢哌酮/舒巴坦應使用滅菌注射用水進行溶解(參見【藥物相互作用】配伍禁忌乳酸鈉林格注射液部分)。采用兩步稀釋法:先用滅菌注射用水溶解(如上表所示),再用乳酸鈉林格注射液稀釋至舒巴坦的濃度為5mg/ml的溶液(用2ml初配液稀釋至50ml乳酸鈉林格注射液中或4ml初配液稀釋至100ml乳酸鈉林格注射液中)。
3)利多卡因
頭孢哌酮/舒巴坦應使用滅菌注射用水溶解(參見【藥物相互作用】配伍禁忌利多卡因部分)。應采用兩步稀釋法:先用滅菌注射用水溶解(如上表所示),再用2%利多卡因溶液稀釋,使約0.5%鹽酸利多卡因溶液中頭孢哌酮和舒巴坦的濃度分別達到125mg/ml和125mg/ml。
【不良反應】
在發展研究和獲批準之后歷經6年研究中(復審完成時),總共12808例患者中觀察到有1023例(7.99%)患者出現不良反應和實驗室檢查異常。主要不良反應為腹瀉(0.75%)、皮疹(0.45%)、發熱(0.21%)等。主要的實驗室檢查異常為ALT升高(3.41%)、AST升高(3.18%)以及ALP升高(1.05%)等。
臨床顯著不良反應(因自發報告原因,發生率未知。)
1)休克、過敏性休克/類過敏反應(呼吸困難等):
在發生休克、過敏性休克/類過敏反應(呼吸困難等)時,應密切監測患者情況。如果觀察到有任何異常結果存在,應立即中斷給藥并采取適當的治療措施。
2)急性腎功能衰竭:
因為可能發生諸如急性腎功能衰竭之類的嚴重腎功能損害,有必要進行定期實驗室檢查。如果觀察到存在有任何異常結果,應采取適當治療措施,例如中斷給藥。
3) 偽膜性結腸炎:
有可能發生諸如伴有血便的偽膜性結腸炎之類的嚴重結腸炎。當腹痛或頻繁的腹瀉出現時,應采取適當治療措施,例如中斷給藥。
4) 間質性肺炎、PIE 綜合癥:
可能會出現伴有發熱、咳嗽、呼吸困難、X射線或嗜酸性粒細胞檢查異常的間質性肺炎以及伴嗜酸細胞增多綜合癥的肺浸潤。如果觀察到此類癥狀,應立即中斷給藥,同時應采取適當治療措施,例如:腎上腺皮質激素給藥。
5)粘膜-皮膚-眼部綜合癥(Stevens Johnson 綜合征)和中毒性表皮壞死松解(萊爾綜合癥):
可能出現粘膜-皮膚-眼綜合癥(Stevens Johnson 綜合征)和中毒性表皮壞死松解(萊爾綜合癥)。如果觀察到此類癥狀,應立即中斷給藥并采取適當的治療措施。
6)血惡液質:
可能發生嚴重血惡液質,例如溶血性貧血、全血細胞減少、粒細胞減少(包括粒細胞缺乏癥)、血小板減少等,有必要采取措施,例如通過定期實驗室檢查仔細觀察等。如果觀察到存在有任何異常結果,應采取適當治療措施,例如中斷給藥。
7)暴發性肝炎:
由于可能會出現暴發性肝炎,有必要采取措施,例如通過定期實驗室檢查進行仔細觀察。如果觀察到存在有任何異常結果,應采取適當治療措施,例如中斷給藥。通常不良事件是從臨床試驗期間及產品上市后的報告中收集的。很多事件可能是由用藥以外的因素如潛伏的疾病引起的。由于多數情況下不可能確定特定的因果關系(甚至許多不良事件并不是藥物不良反應),因此即便在不能確定是否由頭孢哌酮/舒巴坦引起的情況下,我們也在此報告了所收集到的所有不良事件。
頭孢哌酮/舒巴坦通常耐受良好,大多數不良反應為輕度或中度,可以耐受,不影響繼續治療。下列不良反應是從臨床試驗(比較性和非比較性研究)和上市后經驗中觀察到。
在說明書中的所有不良反應均根據MedDRA系統組織分類列示并以臨床重要程度排列。
|
系統組織分類 |
很常見(≥1/10) |
常見(≥1/100,<1/10) |
少見(≥1/1000,<1/100) |
頻率未知(根據現有數據無法估計) |
|
血液和淋巴 |
中性粒細胞減少†、白細胞減少†、直接庫姆斯試驗陽性反應†、血紅 蛋白下降†、血細胞比積下降†、血小板減少† |
凝血障礙*、嗜 酸細胞增多† |
血小板增多 |
維生素K缺乏癥(低凝血酶原血癥*、出血傾向 等)、貧血 |
|
免疫系統異常 |
|
|
|
過敏性休克*§、過敏性反應*§、類過敏反應§ (包括休克*)、超敏反應*§ |
|
神經系統異常 |
|
|
頭痛 |
驚厥 |
|
血管異常 |
|
|
|
出血*§、血管炎* 、低血壓* |
|
胃腸道異常 |
|
腹瀉、惡心、嘔吐 |
稀糞 |
偽膜性腸炎*、口腔炎、念珠菌病 |
|
肝膽管異常 |
丙氨酸氨基轉移酶升高†、天門冬氨酸氨基轉移酶升高†、血液堿性 磷酸酶升高† |
膽紅素升高† |
|
黃疸* |
|
皮膚和皮下組織異常 |
|
|
瘙癢、蕁麻疹、皮疹 |
中毒性表皮壞死松解癥*§、 Stevens-Johnson綜合征*§、剝脫性皮 炎*§、斑丘疹*、紅斑 |
|
腎臟和泌尿系統異常 |
|
|
|
血尿* |
|
一般異常及給藥部 |
|
|
注射部位靜脈炎、注射 部位疼痛、發熱、寒戰 |
維生素B 族缺乏癥(舌炎、厭食癥、 神經炎等) |
上市后不良反應。
在實驗室異常不良反應頻率的計算中,包括了所有可獲得的實驗室數值,包括基線異常的患者。采用這種保守方法是因為原始數據不能區別在治療中有嚴重實驗室變化的基線異常患者與無嚴重實驗室變化的基線異常患者。對于白細胞、中性粒細胞、血小板、血紅蛋白、紅細胞壓積,研究只報告了異常,未區分數值升高或降低。
§有致死事件報告。
【禁 忌】
已知對青霉素類、舒巴坦、頭孢哌酮及其它頭孢菌素類抗生素過敏或對本品成份有休克史者禁用。
對本品成份或頭孢類藥品有超敏反應史的患者,一般情況下,禁止使用注射用頭孢哌酮鈉舒巴坦鈉,如果確實需要使用注射用頭孢哌酮鈉舒巴坦鈉,應謹慎給藥。
【注意事項】
警告:已有注射用頭孢哌酮鈉舒巴坦鈉有關的嚴重出血包括致死情況的報告。需監測出血、血小板減少和凝血障礙跡象。如果有不明原因的持續性出血,應立即停藥。
少數患者使用本品治療后出現了導致凝血障礙的維生素K缺乏,其機制很可能與合成維生素的腸道菌群受到抑制有關,包括營養不良、吸收不良(如肺囊性纖維化患者)、酒精中毒患者和長期靜脈輸注高營養制劑在內的患者存在上述危險。有低凝血酶原血癥(伴隨出血或無出血)的報告。維生素K缺乏會引起出血傾向。應監測上述這些患者以及接受抗凝血藥治療患者的凝血酶原時間,需要時應另外補充維生素K。
出血的獨立風險因素可能包括有臨床意義出血風險增加的損傷或病癥,例如近期發生過腦梗塞(缺血性或出血性);近期有出血的活動性消化性潰瘍;自發性或獲得性止血平衡受損的患者;伴隨凝血障礙和臨床相關出血風險的肝臟疾病;系統性合并使用已知影響止血的藥物治療。
1.超敏反應
有報道,接受β-內酰胺類或頭孢菌素類抗生素治療的患者可發生嚴重的、偶可致死的超敏(過敏性)反應,包括頭孢哌酮/舒巴坦。這些反應更易發生在對多種過敏原有超敏反應史的患者中。一旦發生過敏反應,應立即停藥并給予適當的治療。
對有引起諸如支氣管哮喘、皮疹、蕁麻疹等之類過敏反應傾向的患者本人或患者的父母親,兄弟或姐妹,應謹慎使用注射用頭孢哌酮鈉舒巴坦鈉。
發生嚴重過敏性反應的患者須立即給予腎上腺素緊急處理,必要時應吸氧、靜脈給予激素,采用包括氣管內插管在內的暢通氣道等治療措施。
在頭孢哌酮/舒巴坦治療的患者中有報告嚴重的偶發性致死皮膚不良反應,比如中毒性表皮壞死松解癥(TEN)、Stevens-Johnson 綜合征(SJS)和剝脫性皮炎。一旦發生嚴重皮膚反應,應立即停藥并給予適當的治療。
因為沒有一種確切的方法來預測與這類藥物有關的休克或類過敏性休克的發生,以下措施必須采取:
1)在進行治療之前,應詳細了解患者相關情況,從而查明患者藥物過敏史。尤其是必須確認患者是否有抗生素過敏史。
2)在進行治療之前,應進行休克急救的預先準備。
3)患者應保持安靜并在這種藥物的給藥期間對患者進行密切監測。特別是,在對這種藥物進行給藥之后的一段時間內應密切監測患者情況。
2.肝功能障礙患者的用藥
頭孢哌酮主要經膽汁排泄。當患者有肝臟疾病和/或膽道梗阻時,頭孢哌酮的血清半衰期通常延長并且由尿中排出的藥量會增加。即使患者有嚴重肝功能障礙時,頭孢哌酮在膽汁中仍能達到治療濃度并且其半衰期僅延長 2~4倍。
遇到嚴重膽道梗阻、嚴重肝臟疾病或同時合并腎功能障礙時,可能需要調整用藥劑量。
同時合并有肝功能障礙和腎功能損害的患者,應監測頭孢哌酮的血清濃度,根據需要調整用藥劑量。對這些患者如未密切監測本品的血清濃度,頭孢哌酮的每日劑量不應超過2g。
3.一般注意事項
頭孢哌酮/舒巴坦有嚴重出血案例的報告,包括致死情況。與其他抗生素一樣,少數患者使用頭孢哌酮/舒巴坦治療后出現了導致凝血障礙的維生素K缺乏,其機制很可能與合成維生素的腸道菌群受到抑制有關,包括營養不良、吸收不良(如肺囊性纖維化患者)和長期靜脈輸注高營養制劑在內的患者存在上述危險。維生素K缺乏會引起出血傾向。應監測上述這些患者以及接受抗凝血藥治療患者的凝血酶原時間,需要時應另外補充維生素K。如果 有不明原因的持續性出血,應立即停藥。
與其他抗生素一樣,長期使用頭孢哌酮/舒巴坦可引起不敏感細菌過度生長。因此在治療過程中應仔細觀察患者的病情變化。與其他全身應用的抗生素一樣,建議在療程較長時應定期檢查患者是否存在各系統器官的功能障礙,其中包括腎臟、肝臟和血液系統。這一點對新生兒,尤其是早產兒和其他嬰兒特別重要。
4.幾乎所有抗菌藥物的應用都有難辨梭菌相關性腹瀉(CDAD)的報告,其中包括頭孢哌酮鈉/舒巴坦鈉,其嚴重程度可表現為輕度腹瀉至致命性腸炎。抗菌藥物治療可引起結腸正常菌群的改變,導致難辨梭菌的過度生長。
難辨梭菌產生的毒素 A和毒素 B與 CDAD的發病有關。高產毒的難辨梭菌導致發病率和死亡率升高,這些感染可能對抗菌藥物治療無效,有可能需要結腸切除。對于所有使用抗生素后出現腹瀉的患者,必須考慮到CDAD的可能。由于曾經有給予抗菌藥物治療之后超過 2個月發生 CDAD的報道,因此需仔細詢問病史。
5.對駕駛和操作機器能力的影響
頭孢哌酮/舒巴坦臨床應用經驗表明,本品不會降低患者駕駛和操作機器的能力。
【孕婦及哺乳期婦女用藥】
妊娠期用藥:曾在大鼠中進行了生殖研究,所用劑量高達人體用量的10倍,未發現其生育能力受到損害,也未發現藥物有任何致畸作用。舒巴坦和頭孢哌酮均可通過胎盤屏障,但尚未在妊娠婦女中進行過足夠的和有良好對照的試驗。由于動物生殖研究的結果并非總能預測人體的情況,因此,只有在醫生認為必要時孕婦才能使用本品。
哺乳期用藥:只有少量的舒巴坦和頭孢哌酮能分泌到人體的母乳中。盡管只有少量的舒巴坦和頭孢哌酮能夠進入到母乳中,但哺乳期婦女仍應小心使用本品。
【兒童用藥】頭孢哌酮/舒巴坦兒童每日推薦劑量如下:

上述劑量分成等量,每6至12小時注射一次。
在治療嚴重感染或難治性感染時,上述劑量可按1:1的比例增加到每日160mg/kg,分等量,每日給藥2—4次(參見【兒童用藥】嬰兒用藥部分和【藥理毒理】毒理研究部分)。
新生兒用藥:出生頭一周的新生兒應每12小時給藥一次。舒巴坦在患兒中的每日最高劑量不應超過每日80mg/kg(參見【兒童用藥】嬰兒用藥部分和【藥理毒理】毒理研究部分)。
嬰兒用藥:頭孢哌酮/舒巴坦已被有效地用于嬰兒感染的治療。對早產兒和新生兒尚未進行過廣泛的研究,因此頭孢哌酮/舒巴坦用于早產兒和新生兒前,醫生應充分權衡利弊。
頭孢哌酮不能將膽紅素從血漿蛋白結合部位中置換出來。
【老年用藥】參見【臨床藥理】藥代動力學老年患者用藥部分。
【藥物相互作用】
與酒精的相互作用
有報道,患者在使用頭孢哌酮期間及停藥后5 天內飲酒可引起潮紅、出汗、頭痛和心動過速等特征性反應,其他一些頭孢菌素也曾報道有類似反應。因此患者使用頭孢哌酮/舒巴坦時,如同時飲用含有酒精的飲料應格外注意。當患者需要腸內或腸外營養時,應避免給予含有酒精成份的液體。
實驗室檢查中的藥物相互作用
使用Bennedict溶液或Fehling 試劑檢查尿糖時,可出現假陽性反應。
配伍禁忌
1)氨基糖苷類抗生素
由于頭孢哌酮/舒巴坦與氨基糖苷類抗生素之間有物理性配伍禁忌,因此兩種藥液不能直接混合。如確需頭孢哌酮/舒巴坦與氨基糖苷類抗生素合用時(參見【適應癥】聯合用藥部分),可采用序貫間歇靜脈輸注給藥,但必須使用不同的靜脈輸液管,或在輸注間歇期用一種適宜的稀釋液充分沖洗先前使用過的靜脈輸液管。另外,建議在全天用藥過程中頭孢哌酮/舒巴坦與氨基糖苷類抗生素兩者給藥的間隔時間盡可能長一點。
2)乳酸鈉林格注射液
由于本品與乳酸鈉林格注射液混合后有配伍禁忌,因此應避免在最初溶解時使用該溶液。在兩步稀釋法中,先用注射用水進行最初的溶解,再用乳酸鈉林格注射液作進一步稀釋,從而得到能夠相互配伍的混合藥液(參見【用法用量】使用/操作說明乳酸鈉林格注射液部分)。
3)利多卡因
由于本品與2%鹽酸利多卡因注射液混合后有配伍禁忌,因此應避免在最初溶解時使用此溶液。在兩步稀釋法中,先用注射用水進行最初的溶解,再用2%鹽酸利多卡因注射液作進一步稀釋,從而得到能夠相互配伍的混合藥液(參見【用法用量】使用/操作說明利多卡因部分)。
4)本品與能產生低凝血酶原血癥、血小板減少或胃腸道出血的藥物同時應用時,要考慮這些藥物對凝血功能以及出血危險性增加的影響。
【藥物過量】
有關人體發生頭孢哌酮鈉和舒巴坦鈉急性中毒的資料很少。預期本品藥物過量所出現的臨床表現主要是那些已被報道的不良反應的擴大。腦脊液中高濃度的β-內酰胺類抗生素可引起中樞神經系統不良反應,如抽搐等。由于頭孢哌酮和舒巴坦均可通過血液透析從血循環中被清除,因此如腎功能損害的患者發生藥物過量,血液透析治療可增加本品從體內的排出。
【臨床藥理】
藥代動力學
注射頭孢哌酮/舒巴坦后,其中約84%的舒巴坦和25%的頭孢哌酮經腎臟排泄,其余的頭孢哌酮大部分經膽汁排泄。注射頭孢哌酮/舒巴坦后,舒巴坦的平均半衰期約為1小時,頭孢哌酮為1.7小時。血藥濃度與給藥劑量成正比。數值與已發表的兩者單獨使用的數值一致。靜脈注射2g頭孢哌酮/舒巴坦(1g頭孢哌酮和1g舒巴坦)5分鐘后,頭孢哌酮和舒巴坦的平均血峰濃度分別為236.8μg/ml和130.2μg/ml,提示舒巴坦分布容積(Vd=18.0~27.6L)大于頭孢哌酮的分布容積(Vd=10.2~11.3L)。
肌肉注射1.5g頭孢哌酮/舒巴坦(1g頭孢哌酮、0.5g舒巴坦)后,舒巴坦和頭孢哌酮在15分鐘至2小時血清濃度達到峰值,頭孢哌酮和舒巴坦的平均血清峰濃度分別為64.2μg/ml和19.0μg/ml。
頭孢哌酮和舒巴坦均能較好地分布到各組織和體液,包括膽汁、膽囊、皮膚、闌尾、輸卵管、卵巢、子宮和其他組織及體液中。
無證據表明注射頭孢哌酮/舒巴坦復方制劑后兩種組分之間存在藥代動力學相互作用。
有報道,頭孢哌酮/舒巴坦多劑給藥后兩種組分的藥代動力學參數均無顯著變化,每8~12小時注射一次時未發現藥物蓄積。
肝功能障礙患者用藥:參見【注意事項】部分。
腎功能障礙患者用藥:不同程度腎功能障礙患者注射頭孢哌酮/舒巴坦后,舒巴坦的藥物總清除率與估計的肌酐清除率密切相關。在腎功能衰竭患者中,舒巴坦的半衰期明顯延長(在兩項研究中分別平均為6.9小時和9.7小時)。在血液透析患者中,舒巴坦的半衰期、藥物總清除率和表觀分布容積均發生了明顯改變。未觀察到頭孢哌酮的藥物動力學參數在腎功能衰竭患者中有顯著差異。
老年患者用藥:在伴有腎功能障礙和肝功能受損的老年人群中進行了頭孢哌酮/舒巴坦的藥物動力學參數的研究,與正常健康受試者相比,在這些患者中舒巴坦和頭孢哌酮均顯示出半衰期延長,藥物清除減少和表觀分布容積增加。舒巴坦的藥物動力學參數與腎功能的損害程度高度相關,而頭孢哌酮的藥物動力學參數則與肝功能的損害程度關系密切。
兒童用藥:在兒科患者中進行的研究顯示,與成人數據相比頭孢哌酮/舒巴坦各成分的藥物動力學參數無明顯改變。舒巴坦在兒童中的半衰期范圍為0.91至1.42小時,頭孢哌酮為1.44至1.88小時。
【藥理毒理】
藥理作用
頭孢哌酮/舒巴坦的抗菌成分為頭孢哌酮,為第三代頭孢菌素,通過在細菌繁殖期抑制敏感細菌細胞壁粘肽的生物合成而達到殺菌作用。舒巴坦除對奈瑟菌科和不動桿菌外,對其它細菌不具有任何有效的抗菌活性。但用細菌進行的生化研究顯示,舒巴坦對由β-內酰胺類抗生素耐藥菌株產生的多數重要的β-內酰胺酶具有不可逆性的抑制作用。
通過對耐藥菌全細胞的研究證實,舒巴坦可防止耐藥菌對青霉素類和頭孢菌素類抗生素的破壞,并且舒巴坦與青霉素類和頭孢菌素類抗生素具有明顯的協同作用。由于舒巴坦可與某些青霉素結合蛋白相結合,因此敏感菌株通常對頭孢哌酮/舒巴坦的敏感性較單用頭孢哌酮時更強。
頭孢哌酮/舒巴坦復方制劑對所有對頭孢哌酮敏感的細菌均具有抗菌活性。另外它對多種細菌,特別是下列細菌均表現出協同抗菌作用(頭孢哌酮/舒巴坦復方制劑較其中單種成分的最低抑菌濃度(MIC)值降低達4倍)。
流感嗜血桿菌、擬桿菌屬、葡萄球菌屬、醋酸鈣不動桿菌、產氣腸桿菌、大腸桿菌、奇異變形桿菌、肺炎克雷白菌、摩氏摩根菌、弗勞地枸櫞酸菌、陰溝腸桿菌、異形枸櫞酸桿菌。
在體外試驗中,頭孢哌酮/舒巴坦對臨床許多重要致病菌具有抗菌活性:
革蘭陽性菌:金黃色葡萄球菌,產生和不產生青霉素酶的菌株、表皮葡萄球菌、肺炎鏈球菌(以往稱肺炎雙球菌)、化膿性鏈球菌(A組β-溶血性鏈球菌)、無乳鏈球菌(B組β-溶血性鏈球菌)、β-溶血性鏈球菌的多數菌株、糞腸球菌的許多菌株
革蘭陰性菌:大腸桿菌、克雷白菌屬、腸桿菌屬、枸櫞酸菌屬、流感嗜血桿菌、奇異變形桿菌、普通變形桿菌、摩氏摩根菌(以往稱摩根變形桿菌)、雷氏普羅維登斯菌(以往稱雷氏變形桿菌)、普羅維登斯菌屬、沙雷菌屬(包括粘質沙雷菌)、沙門菌屬和志賀菌屬、銅綠假單胞菌和某些其他假單胞菌屬、醋酸鈣不動桿菌、淋球菌、腦膜炎球菌、百日咳桿菌、小腸結腸炎耶爾森菌
厭氧菌:革蘭陰性桿菌(包括脆弱擬桿菌、其他擬桿菌屬和梭桿菌屬)、革蘭陽性和革蘭陰性球菌(包括消化球菌、消化鏈球菌和韋榮氏球菌屬)、革蘭陽性桿菌(包括梭狀芽孢桿菌、真桿菌和乳桿菌屬)
下列所示為已建立的頭孢哌酮/舒巴坦的敏感性范圍:


采用肉湯稀釋法或瓊脂稀釋法對1:1或2:1的頭孢哌酮/舒巴坦進行逐步稀釋以獲得其最低抑菌濃度(MIC)。推薦采用含75μg頭孢哌酮和30μg舒巴坦的藥敏紙片。如敏感性試驗報告“敏感”,表明頭孢哌酮/舒巴坦治療感染的病原菌可能有效;如報告“耐藥”,表明頭孢哌酮/舒巴坦治療感染的病原菌可能無效;如報告為“中度敏感”,表明如給予較高劑量或感染局限在有高濃度本品的組織或體液時,病原菌可能對頭孢哌酮/舒巴坦敏感。
下列推薦的是75μg/30μg的頭孢哌酮/舒巴坦敏感性試驗的質控標準:

毒理研究
目前尚無本復方制劑的遺傳毒性、生殖毒性(除皮下給藥有部分試驗結果,見頭孢哌酮部分)和致癌性研究資料,各單藥的毒理研究可參考以下相關資料。
頭孢哌酮
遺傳毒性:體內、外的遺傳毒性研究均未發現本品有致突變作用:人淋巴細胞的染色體畸變試驗結果陰性,但在進行本品的全血細胞培養時,發現染色體斷裂增多。
生殖毒性:每日皮下注射頭孢哌酮1000mg/kg(約為成人平均劑量的16倍)可導致大鼠睪丸重量降低,精子生成受到抑制,生殖細胞數量減少和滋養細胞胞漿內空泡形成。在日劑量為100~1000mg/kg范圍內,其損害的嚴重程度與劑量相關。低劑量可引起精子細胞輕微減少,在成年大鼠中未觀察到此改變。除最高劑量外,這種組織學損害在各劑量組中均為可逆性的。盡管如此,這些試驗并未對大鼠以后的生殖功能進行評價。尚未確定上述發現與人體的關系。
新生大鼠皮下注射頭孢哌酮/舒巴坦,按1:1的比例(日劑量300mg/kg+300mg/kg)用藥1個月后,可導致大鼠睪丸重量降低,并且出現未成熟的小管,由于年幼大鼠睪丸的成熟情況存在很大程度的個體差異,并且在對照組中也發現未成熟的睪丸,因此尚不確定上述現象是否與藥物有關。給予幼犬超過成人平均劑量10倍的頭孢哌酮/舒巴坦時,未發現上述情況。
舒巴坦和頭孢哌酮均可通過胎盤屏障,但尚未在妊娠婦女中進行充分和嚴格對照的試驗。由于動物生殖研究的結果并非總能預測人體的情況,因此,只有在醫生認為必要時孕婦才能使用本品。哺乳期用藥:只有少量的舒巴坦和頭孢哌酮能分泌到人體的母乳中。盡管只有少量的舒巴坦和頭孢哌酮能夠進入到母乳中,但哺乳期婦女仍應慎用。
致癌性:尚無有關本品長期應用的潛在致癌性研究。
舒巴坦
遺傳毒性:尚未見有研究報道。
生殖毒性:在給予小鼠、大鼠和兔的劑量達人用劑量的10倍時,未發現本品有生育力損傷和對胎兒的毒性。但是無充分和嚴格的孕婦研究資料,動物研究結果與人的相關性尚不明確。
致癌性:尚未見研究報道。
【貯 藏】避光,密閉,不超過25℃保存。
【包 裝】中硼硅玻璃模制注射劑瓶、注射用無菌粉末用覆乙烯四氟乙烯共聚物膜氯化丁基橡膠塞和抗生素瓶用鋁塑組合蓋包裝。1瓶/盒,10瓶/盒。
【有效期】 18個月
【執行標準】國家藥品監督管理局標準YBH03762023
【批準文號】0.5g(C H N O S 0.25g與C H NO S 0.25g):國藥準字H20066400
【上市許可持有人】
名 稱:廣東金城金素制藥有限公司
注冊地址:廣東省中山市火炬開發區神農路10號
【生產企業】
企業名稱:廣東金城金素制藥有限公司
生產地址:廣東省中山市火炬開發區神農路10號
郵政編碼:528437
服務熱線:400-9988-970
電話號碼:(0760)22830525(總機)
傳真號碼:(0760)22578279
網 址:http://www.gdjcjs.com




魯公網安備 37030202000396號 